Критерий Келли – это достаточно популярная финансовая стратегия для ставок на спорт, которая заключается в определении размера каждого последующего пари с точки зрения разумного управления своим банком. Разработан подход в 1956 году Джоном Келли: он придумал, как определять размер ставки в процентах в зависимости от общего банкролла.
Содержание
Принято считать, что критерий Келли – это отличный инструмент для защиты своих денег от проигрыша: все потому, что он не подразумевает определенного размера ставки. Игроку каждый раз нужно самостоятельно определять вероятность события и по специальной формуле рассчитывать оптимальный размер ставки (в процентах от банкролла). В этом материале постараемся подробнее и с конкретными примерами рассмотреть данный подход к игре на ставках.
Как играть по критерию Келли
Стратегия требует от игрока определенного опыта в ставках: дело в том, что ее успешность заключается в умении самостоятельно определять вероятность захода того или иного исхода в линии. Можно даже сказать, что все сводится к тому, что правильнее – беттер или букмекерская контора, правильнее определит вероятность события.

В каком-то смысле критерий Келли можно назвать улучшенной версией «валуйных ставок»: применять его следует в тех ситуациях, когда букмекер не смог грамотно оценить событие и предлагает своим клиентам завышенный коэффициент. Но, если по какой-то причине не удалось правильно определить вероятность, беттер останется в проигрыше.
Формула расчета размера ставки по критерию Келли
Теперь переходим к самому интересному и полезному. Выше мы уже говорили о том, что основа этого подхода к ставкам на спорт – специальная формула, по которой можно определить оптимальный размер пари на событие, вероятность которого букмекер оценил неправильно, а игрок – верно.
Чтобы перевести коэффициент в процентную вероятность, нужно воспользоваться самой обычной формулой:
100% / K
Например, на победу команды Х контора предлагает поставить с коэффициентом 1.55. Процентная вероятность ее победы по мнению букмекера составит: 100% / 1.55 = 64,52%.
Игрок же предполагает, что вероятность успеха команды Х составляет 75% – получается, что по мнению беттера букмекер завысил ставку – такой исход можно использовать для игры по критерию Келли. Если бы оценка игрока была ниже, чем у букмекера (например, 60%), то такой вариант в рамках рассматриваемой нами стратегии не подходил бы.
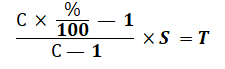
Теперь перейдем к основной формуле критерия Келли, по которой можно рассчитать оптимальный размер для ставки. Выглядит она следующим образом:

- С – коэффициент в БК,
- % – вероятность (в процентах) захода события по мнению игрока;
- S – банкролл;
- Т – сумма, которую нужно поставить.
Все довольно-таки просто: сложнее самостоятельно оценить вероятность и найти событие, в котором букмекер просчитался.
Пример использования критерия Келли в ставках на спорт
Теперь же давайте возьмем конкретный матч и разберем на его примере. Этим мы поймем, как именно работает критерий Келли. Сегодня найти игру, в которой букмекер просчитался и, как кажется, дал завышенный коэффициент, очень сложно – для этого часто приходится копаться в нишевых чемпионатах (на топовых турнирах у контор работают хорошие эксперты).
Возьмем для примера матч РПЛ между командами "Динамо" и "Ростов". На успех гостей букмекер предлагает коэффициент 3.70 (возможная победа подопечных Карпина оценивается в 27%). Мы же считаем, что «Ростов» победит с вероятностью 37% – получается, что данная ситуация нам подходит. Остается только рассчитать размер ставки, если, допустим, наш банк равен 10 000 рублей.
Таким образом, у нас есть следующие данные, необходимые для расчета по формуле:
- 3.70 – коэффициент, который предложил букмекер;
- 37% – вероятность победы (по мнению беттера);
- 10 000 рублей – банкролл.
Подставляем все это в формулу выше и получаем размер оптимальной ставки: в нашем случае она составит 1 366 рублей.
Здесь нужно рассказать о том, что существует еще дробный критерий Келли – это означает, что игрок ставит не всю сумму, которую высчитал по формуле, а лишь ее часть (например, 50% или 75%). Это происходит в тех ситуациях, когда беттер не до конца уверен, что правильно оценил вероятность события – можно чуть защитить свой банкролл.
Когда выгодно использовать критерий Келли
Данный подход к ставкам следует использовать тем, кто уже имеет опыт и может оценить вероятность события самостоятельно. Но никто не гарантирует успеха на 100%: ошибки будут, и это нормально. Ведь критерий Келли – это своего рода гонка с букмекером, и тут будут ошибаться все стороны.
Игроки, которые часто применяют данную стратегию, выделили определенные советы:
- К любому спортивному событию нужно относиться серьезно. Анализировать, искать ошибки букмекера в анализе – это требует определенных навыков. Иначе можно очень быстро расстаться со своим банком.
- Не следует играть в состоянии морального упадка, не выспавшимся, уставшим или после серии поражений: в подобных ситуациях нами чаще всего движут эмоции.
- Играть с критерием Келли на низких коэффициентах бесполезно – это путь в никуда. Проверяйте коэффициенты, оценивайте саму вероятность – не нужно верить тем цифрам, которые предлагает букмекер.
- Подходить к стратегии лучше с неплохим банком.
Помните, что математически шанс прохода любого спортивного события – 50%: либо зайдет, либо нет. А дальше уже включайте все свои навыки и определяйте, какова же более точная вероятность.
Заключение
Критерий Келли – это интересный подход к ставкам на спорт. Его главный недостаток в том, что он требует определенных умений и опыта: новичкам будет очень сложно. Если по какой-то причине игрок неверно оценил вероятность захода того или иного события, это может серьезно ударить по банкроллу.
С другой стороны, это крайне интересно, особенно для людей с математическим складом ума: сидеть и выискивать ошибки букмекера, который, например, мог не учесть в своих прогнозах какие-то мелочи, способные оказать влияние на итоговый результат.
Другие интересные стратегии ставок:
Нет комментариев